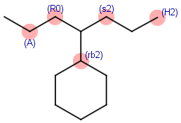
Atom Query Property

  • Checker searches for atoms having query properties. Tick options for searching:

    • Hydrogen Count (:H=true);

    • Connection Count (:X=true);

    • Ring Bond Count (:rb=true);

    • Ring Count (:R=true);

    • Implicit Hydrogen Count (:h=true);

    • Smallest Ring Size (:r=true);

    • Aromaticity (:a=true);

    • Substitution Count (:s=true);

    • Unsaturation (:u=true);

    • Explicit Connection Count (:D=true)

    atom query properties.

  • Fixer offers removing the identified query properties (removeatomqueryproperty).

Example :

Atom Query Property Checker (atomqueryproperty)

Warning:

Fix

Removing query property (removeatomqueryproperty)

Detect Atom Query Property

images/download/attachments/41127389/ex_atomqp_ch.png
example atom query property

images/download/attachments/41127389/ex_atomqp_f.png
fixed atom query property