Mirror a molecule

Apart from flipping Marvin is able to produce mirror images of the molecules or parts of.

These operations can be found in the Edit > Transform menu.

If no selection is made, the operation will be executed on all structures in the canvas.

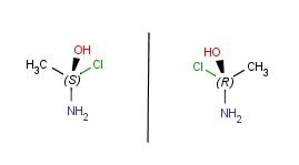
In mirrored molecules stereocenters are inverted.

Mirroring

  • horizontally: the theoretical mirror is horizontal and placed perpendicular to the canvas (left-to-right mirroring) the vertical

  • vertically: the theoretical mirror is and perpendicular to the canvas (upside-down mirroring)

Mirror a selection:

  1. Select part the molecule.

  2. Right-click on the canvas or go to the Edit > Transform menu.

  3. Click the command.

Mirror the whole structure without selection:

  1. Go to the Edit > Transform menu.

  2. Click on the command.


Group mirror

When there is only one connecting bond between the selected and unselected parts of the structure, the Group mirror command is available.

The group is mirrored to the plane perpendicular to the plane defined by the two atoms of the above mentioned connecting bond plus a neighboring atom (in the group) that is not collinear with the connecting bond.

Horizontal mirroring (to yz plane)

images/download/attachments/41125298/mirror_horizontal.png

Vertical mirroring (to xz plane)

images/download/attachments/41125298/mirror_vertical.png

Mirroring to canvas plane (to xy plane)

images/download/attachments/41125298/mirror_canvas.png