Copolymers

If the structure consists of more than one repeating unit (mon, mer) or structural repeating unit, Copolymer (co) brackets/groups can be used to represent the structure.

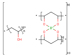
Copolymers might contain crossing bonds and star atoms.

The following copolymers can be drawn:

  • random(ran)

  • alternating(alt)

  • block with or without junction unit (blk)

  • copolymer to represent modified polymers (mod)

  • copolymer to represent grafted polymers (grf)

  • copolymer to represent cross-linked polymers (xl)

For example:
images/download/attachments/41125361/polymer4.png

How to draw a copolymer

  1. Create the components to form the copolymer.

  2. Click the Group tool on the toolbar then select the components to be included.

  3. In the "Create Group" dialog window choose the type ("Copolymer (co)", "Copolymer, alternating (alt)", "Copolymer, block (blk)" or "Copolymer, statistical (stat)") from the "Type" list.

  4. Click OK.

How to add a new subpolymer to a copolymer

    1. Draw the subpolymer to add outside of the bracket.

    2. Drag one part of the bracket to include the new subpolymer. The new molecule should be marked with blue circles when you hover the mouse cursor over it.

How to delete a subgroup from a copolymer

    1. Select the subpolymer to delete.

    2. Press the Delete button on your keyboard or with the Erase tool.