Standardizing

During the autoregistration the compound is standardized according to the following rules:

 

Structure to be registered

Registered structure

Abbreviated groups will be expanded

When drawing structures you can use abbreviations (e.g. ACE, COOEt, TBS, TBSO etc.). These groups will be automatically expanded on Submission page or Amendment page. It is possible to specify a list of exception abbreviations (e.g. Ala, Boc) that will be not expanded automatically

images/download/thumbnails/43906896/S1-1.png

images/download/thumbnails/43906896/S1-2.png

Aromatic structures are dearomatized

Aromatic structures are converted to structures with alternating single and double bonds. E.g. when registering naphthalen-1-amine (left, aromatic form) it will be registered as non-aromatic

images/download/thumbnails/43906896/S2-1.png

images/download/thumbnails/43906896/S2-2.png

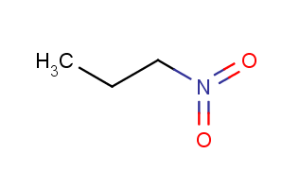
Charged nitro (or nitroso) groups are converted to groups with double bonds

images/download/thumbnails/43906896/S3-1.png

images/download/thumbnails/43906896/S3-2.png

Non-specific explicit Hydrogens are removed

images/download/thumbnails/43906896/S4-1.png

images/download/thumbnails/43906896/S4-2.png