Transform Std

The following elements specify the built-in reaction based functional group transformations.

  • Aromatic N-Oxide

  • Azide


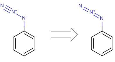
    Example:

    Transform Azide (action string: '[#7;A;X2-:1][N;X2+:2]#[N;X1:3]>>[#7:1]=[N+:2]=[#7-:3]')

    images/download/attachments/41127169/standardizer13.png
    Transform azide

  • Diazo

  • Diazonium

  • Iminium

  • Isocyanate

  • Nitrilium

  • Nitro


    Example:

    Transform Nitro (action string: '[O:3]=[N:1]=[O:2]>>[#8-:2]-[#7+:1]=[O:3]')

    images/download/attachments/41127169/standardizer12.png
    Transform nitro

  • Nitrone Nitronate

  • Nitroso

  • Phosphonic

  • Phosphonium Ylide

  • Selenite

  • Silicate

  • Sulfine

  • Sulfone

  • Sulfonium Ylide

  • Sulfoxide

  • Sulfoxonium Ylide

  • Tertiary N-Oxide