Solvent

  • Checker searches for fragments in the molecule file defined as solvent molecules if more than one fragment is present. The solvent list is customizable and is stored in a configuration file.

  • Fixer offers removing solvent fragment(s) (removeatom).

Examples :

Solvent Checker (solvent)

Warning:

Fix

Delete Atom (removeatom)

Find Solvent Molecules

images/download/attachments/41127567/twosolventmoleculesdetected.png

images/download/attachments/41127567/twosolventmoleculesfixed.png

Find Solvent Molecules

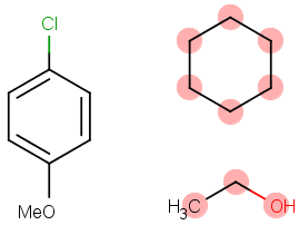
images/download/attachments/41127567/ex_solvent_ch.png
ex_solvent_ch

images/download/attachments/41127567/ex_solvent_f.png
ex_solvent_f

In case there are only solvent molecules in the input structure, Solvent Checker detects the solvents but no fixer is offered.

The default solvents in the solvent dictionary are:

water, methanol, ethanol, propan-1-ol propan-2-ol, butan-1-ol, formic acid, acetic acid, pentane, hexane, benzene, methylbenzene, ethoxyethane, trichloromathane, ethyl acetate, dichloromethane, propan-2-one, acetonitrile, N-methylacetamide, methanesulfonylmethane, oxolane, heptane, 2-mezhylpropan-2-ol, butan-2-one, cyclohexane, cycloheptane, 1,2-dichloroethane, 2-(propan-2-yloxy)propane, 1,2-dimethoxyethane, N,N-dimethylacetamide, pyridine, 1,2-dimethylbenzene, 2-methyoxy-2-methylpropane