Stereoselectivity

A reaction can be considered stereoselective if theoretically more products could be formed that are stereoisomers but the reaction shows a preference towards one product.

Reactor is capable of handling such reactions and takes into account stereoselectivity considerations.

Geometric isomerism

Some reactions produce preferentially the E or Z forms of a given compound. For example, the Chan reduction is a stereoselective reduction of propargyl alcohols to E-allylic alcohols.

In accordance with this knowledge, Reactor produces compounds with E stereoselectivity:

images/download/attachments/41126546/chan-reduction-of-acetylenes.png

Thus, the known stereoselectivity of Chan reduction is restored with Reactor when using the built-in reaction Chan reduction of acetylenes.

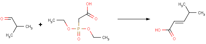
As for another example, the Wittig-Horner-Emmons reaction is the reaction of aldehydes or ketones with stabilized phosphorus ylides (phosphonate carbanions) leads to olefins with excellent E-selectivity.

images/download/attachments/41126546/horner_wadsworth_emmons_reaction.png

This reaction can be performed using the predesigned Horner-Wadsworth-Emmons reaction from the reaction library.

Chirality

Reactor can take into account stereoselectivity considerations in connection with chirality as well.

For instance, the following reaction defines a stereoselective reaction:

images/www.chemaxon.com/jchem/doc/user/Reactor_files/stereoselective.png

Reactor reacts the first compound according to the above equation, but not the second one, since the reactant is not matching:

images/www.chemaxon.com/jchem/doc/user/Reactor_files/stereoselective1.png

images/www.chemaxon.com/jchem/doc/user/Reactor_files/stereoselective2.png

Reactor can also be used to define stereoselective reactions producing the appropriate chiral compounds from both enantiomers.

Utilizing e.g. inversion flags in the reaction scheme enables inverting the reaction center in the actual stereo reaction:

images/www.chemaxon.com/jchem/doc/user/Reactor_files/inversion.png

images/www.chemaxon.com/jchem/doc/user/Reactor_files/inversion1.png

images/www.chemaxon.com/jchem/doc/user/Reactor_files/inversion2.png

Please note, that the third reactant is racemic, thus the product is racemic as well.

Defining such stereoselective reactions does not require the usage of advanced settings in Reactor. Simply, draw your reaction with conventional chemistry symbols and Reactor will deliver the proper products for you!