Clean 2D

Action performs automatic two-dimensional atom coordinate calculation. The following clean options can be specified:

  • Partial: Calculates coordinates for new/changed atoms and preserves original atom coordinates where possible. (clean2d) (default)

  • Full: Recalculates all atom coordinates. (clean2d:full)

  • Remove Z-Coordinate: Sets the z-coordinate of the molecule to zero. (clean2d:removezcoordinate)

  • Template based: It recalculates atom coordinates according to a set template file. Template file is specified in the TemplateFile attribute. If the template molecules are not in 2D, they are cleaned in 2D upon startup. Template based clean is performed in the following way: templates are searched in the target molecule in the order as they are given in the template file. The first matching is processed: template atom coordinates are copied to the corresponding target atoms and the remaining atoms are cleaned with partial clean. See some complex structures processed with template based cleaning below. (clean2d:<template file>)

Example :

Action

Input

Output

Partial Clean
(clean2d)

images/download/attachments/41127007/cleanpartial_in.png
Partial clean input

images/download/attachments/41127007/cleanpartial_out.png
Partial cleaned molecule

Full Clean
(clean2d:full)

images/download/attachments/41127007/cleanpartial_in.png
Partial clean input

images/download/attachments/41127007/cleanfull_out.png
Full cleaned molecule

Remove Z-Coordinate Clean
(clean2d:removezcoordinate)

images/download/attachments/41127007/cleanflatten_in.png
Remove Z Coordinate input

images/download/attachments/41127007/cleanflatten_out.png
Remove Z Coordinate input

Template Based Clean
(clean2d:<template file>)
images/download/attachments/41127007/CrownEtherTemplate.png
template 1

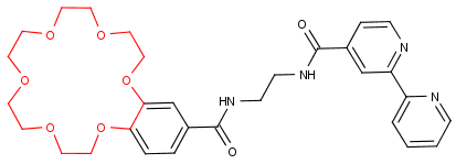
images/download/attachments/41127007/CrownEther.png
crown ether

images/download/attachments/41127007/CrownEtherCleaned.png
crown ether cleaned

Template Based Clean
(clean2d:<template file>)
images/download/attachments/41127007/PorphyrineTemplate.png
template 2

images/download/attachments/41127007/Porphyrine.png
Porphyrine

images/download/attachments/41127007/PorphyrineCleaned.png
Porphyrine cleaned

Template Based Clean
(clean2d:<template file>)
images/download/attachments/41127007/BicycleTemplate.png
template 3

images/download/attachments/41127007/Bicycle.png
Bicycle

images/download/attachments/41127007/BicycleCleaned.png
Bicycle cleaned

Note :

  • If the input is in 3D, output will be in 2D.

  • In case of SMILES input, only full clean or template based clean is available since the input has no atom coordinates originally; however, action "clean2d" is also accepted, but full clean will be performed.

  • Full clean converts all unspecified double bonds to "wiggly" representation as the IUPAC recommended representation. See also the description of Convert Double Bonds action.