Unordered Mixtures and Ordered Mixtures

These features can be expressed by brackets (groups) of type component, unordered mixture (also called mixture) and ordered mixture (also called formulation). A component here is a set of atoms contained by a component bracket.

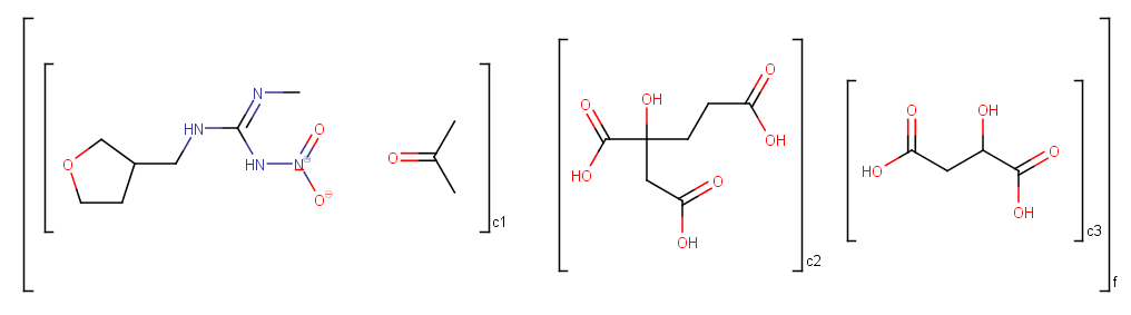
Ordered and unordered mixtures

An unordered mixture (denoted by "mix" at the bottom of the right bracket) consists of several unordered components (denoted by "c" at the bottom of the right bracket). For these types of mixtures, the order of addition during the preparation is not important. Example:

images/download/attachments/41125366/ordered_mixture1.PNG

Ordered mixtures, on the other hand contain ordered components, which define the order of addition. Example:
images/download/attachments/41125366/ordered_mixture2.PNG

How to ...

draw an unordered component

    • Draw the structures that form the mixture.

    • To define a structure as a component in a mixture, click the Group tool on the toolbar, then select the structure.

    • In the "Create Group" dialog window choose "Component (c)" from the "Type" list.

    • The "Order" field should be empty or should contain "none". If the "Order" field already contains a number, just delete it (you can type in "none" as well).

    • Click OK.

draw an ordered component

    • Draw the structures that form the mixture.

    • To define a structure as a component in a mixture, click the Group tool on the toolbar, then select the structure.

    • In the "Create Group" dialog window choose "Component (c)" from the "Type" list.

    • If this is the first component of the mixture, click the "Order" field and enter "1" in place of "none". If the "Order" field already contains a number Marvin will automatically increment the "Order" field for subsequent components.

    • Click OK.

draw a mixture

    • Create the components to form the mixture.

    • Click the Group tool on the toolbar, then select the structures.

    • In the "Create Group" dialog window choose the type ("Ordered mixture(f)" or "Unordered mixture(for)") from the "Type" combobox.

    • Click OK.

change the type of a mixture

    • Hover the mouse over the group.

    • Choose "Edit Group" from the contextual menu (right mouse click on the selected mixture).

    • Change the type of the mixture.

    • Click OK.

add a new component to a mixture

    • Draw the new component.

    • Drag one part of the bracket and move it to enclose the new component.

delete a component from a mixture

    • Select the component.

    • Press the Delete button on your keyboard or select the Erase tool.