Wedge Error

Deprecated

Wedge Error Checker has been split into three separate checkers: Incorrect Tetrahedral Stereo ; Non-standard Wedge Scheme , or Non-stereo Wedge Bond checker.

  • Checker searches for irregular wedge bonds.

  • Fixer arranges stereo wedge bonds according to IUPAC recommendations. (wedgeclean).

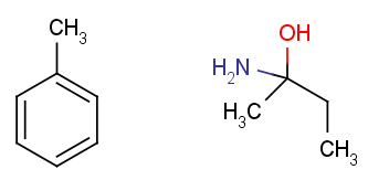
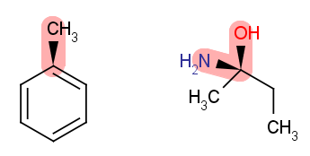
Example :

Wedge Error Checker (wedgeerror)

Warning:

Fix

Clean Wedge (wedgeclean)

Detect irregular wedge bond

images/download/attachments/41127615/ex_wedge_ch.png
ex_wedge_ch

images/download/attachments/41127615/ex_wedge_f.png
ex_wedge_f

Ambigous wedge configuration

images/download/attachments/41127615/amigWedge.png

images/download/attachments/41127615/ambigWedgeFixed.png

Note : Some symmetric structures are not recognized by the checker.