Remove

These elements specify the reaction based molecular fragment removals.

  • 1,2-Dichloroethane

  • 1,2-Dimethoxyethane

  • 1,4-Dioxane

  • 1-Methyl-2-pyrrolidone

  • 2-Butanone

  • Acetic Acid

  • Acetone

  • Acetonitrile

  • Benzene

  • Butanol

  • Chloroform

  • Cycloheptane

  • Cyclohexane

  • Dichloromethane

  • Diethyl Ether

  • Diisopropyl Ether

  • Dimethyl Formamide

  • Dimethyl Sulfoxide

  • Dioxane

  • Ethanol

  • Ethyl Acetate

  • Formic Acid

  • Heptane

  • Hexane

  • Isopropanol

  • Methanol

  • N,N-Dimethylacetamide

  • Pentane

  • Propanol

  • Pyridine

  • t-Butanol

  • t-Butyl Methyl Ether

  • Tetrahydrofurane

  • Toluene

  • Water

  • Xylene

Example :

Action

Input

Output

Remove Water

(actionstring: '[H:1][#8:2][H:3]>>')

images/www.chemaxon.com/jchem/doc/user/Standardizer_files/examples/remove_water_in.png
remove water input

images/www.chemaxon.com/jchem/doc/user/Standardizer_files/examples/remove_water_out.png
remove water output

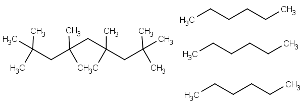
Remove Hexane

(actionstring: '[#6:4]-[#6:3]-[#6:2]-[#6:1]-[#6:5]-[#6:6]>>')

images/www.chemaxon.com/jchem/doc/user/Standardizer_files/examples/remove_hexane_in.png
remove hexane input

images/www.chemaxon.com/jchem/doc/user/Standardizer_files/examples/remove_hexane_out.png
remove hexane output