Differences between the Basic and General methods SB

The two method approach the question differently. The general method tries to incorporate mesomeric, tautomeric rearrangement, as in 2-pyridone, while the basic method does not. In the basic method the external double bond breaks the formation of aromatic ring.

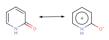
The 2-pirydone is aromatic due to its mesomeric rearrangement:
images/download/attachments/41129299/pyridone_mesomer.png

The following molecules will give different results depending upon the method applied.

Molecule in aliphatic form

Basic aromatization

General aromatization

IUPAC name: pyridin-2(1H)-one

images/download/thumbnails/41129299/1.png

images/download/thumbnails/41129299/1.png

images/download/thumbnails/41129299/1_d.png

IUPAC name: 2-thioxo-2,3-dihydropyrimidin-4(1H)-one

images/download/thumbnails/41129299/2.png

images/download/thumbnails/41129299/2.png

images/download/thumbnails/41129299/2_d.png

IUPAC name: 2,4-dihydro-3H-1,2,4-triazol-3-thione

images/download/thumbnails/41129299/3.png

images/download/thumbnails/41129299/3.png

images/download/thumbnails/41129299/3_d.png

IUPAC name: 9H-xanthen-9-one

images/download/attachments/41129299/4.png

images/download/attachments/41129299/4_c.png

images/download/attachments/41129299/4_d.png

IUPAC name: 5-thioxo-1,2,4-triazolidin-3-one

images/download/thumbnails/41129299/5.png

images/download/thumbnails/41129299/5.png

images/download/thumbnails/41129299/5_d.png

IUPAC name: imidazo[1,5-a]pyridine-3(2H)-thione

images/download/thumbnails/41129299/6.png

images/download/thumbnails/41129299/6.png

images/download/thumbnails/41129299/6_d.png