Remove Explicit Hydrogens

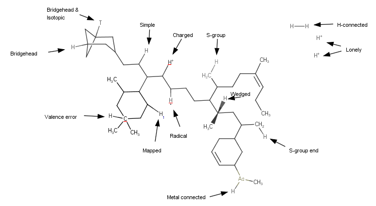
This action transforms explicit hydrogen atoms to implicit ones. (Explicit hydrogens are represented by connecting bonds to heteroatoms or carbons, while implicit hydrogens do not appear directly in the structure or are simply written together with the other atom.) To fine tune the explicit hydrogen removal, specify which hydrogen atoms should be removed. By default, "bound", "non-isotope", "neutral", "non-radical", "metal-connected", and "non-mapped" hydrogen atoms are removed. The following options can be set to remove specific hydrogen types:

  • Lonely: hydrogen atom without connection (removeexplicith:lonely);

  • Charged: charged hydrogen atoms (removeexplicith:charged);

  • Mapped: mapped hydrogens (removeexplicith:mapped);

  • Isotopic: hydrogen isotopes (removeexplicith:isotopic);

  • Radical: hydrogen radicals (removeexplicith:radical);

  • Wedged: hydrogen connecting with wedged bond (removeexplicith:wedged);

  • H Connected: hydrogen connected to a hydrogen atom (removeexplicith:hconnected);

  • Polymer End Group: hydrogen connected to a SRU (Structural Repeating Unit) S-group (removeexplicith:polymerendgroup);

  • S-group End: hydrogen connected to a Superatom S-group (removeexplicith:sgroupend);

  • S-group: hydrogen which is the only atom in a S-group (removeexplicith:sgroup);

  • Valence Error: hydrogen connected to an atom which has valence error (removeexplicith:valenceerror);

  • Metal Connected: hydrogen connected to a metal atom (removeexplicith:metalconnected);

  • Bridgehead: hydrogen connected to a bridgehead atom (an atom that is shared by both rings in a bicyclic (multicyclic) compound) (removeexplicith:bridgehead); images/download/attachments/41127114/explicit_H_types.png



Example :

Action

Input

Output

Remove Explicit Hydrogens
(removeexplicith)

images/download/attachments/41127114/removeexplicith_in.png
Remove explicit H

images/download/attachments/41127114/removeexplicith_out.png
Explicit H were removed

Remove Explicit Hydrogens
(removeexplicith:isotopic:mapped:wedged)

images/download/attachments/41127114/removeexplicith_in.png
Remove explicit H input

images/download/attachments/41127114/removeexplicith2_out.png
Remove explicit H output

Remove Explicit Hydrogens
( removeexplicith:bridgehead )

images/download/attachments/41127114/bridgehead_with_h.png

images/download/attachments/41127114/bridgehead_without_h.png

To reconvert implicit hydrogens to explicit ones, use Add Explicit Hydrogens action.